Create an XY table. Enter time values into X and population values into Y. After entering data, click Analyze, choose nonlinear regression, choose the panel of growth equations, and choose Exponential plateau.
Consider whether you want to constrain Y0 and/or Ym to fixed values.
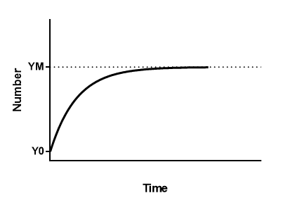
Y=YM -(YM-Y0)*exp(-k*x)

Y0 is the starting population (same units as Y)
YM is the maximum population (same units as Y)
K determines is the rate constant (inverse of X time units)